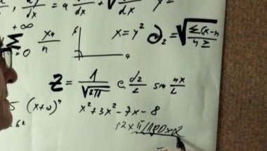
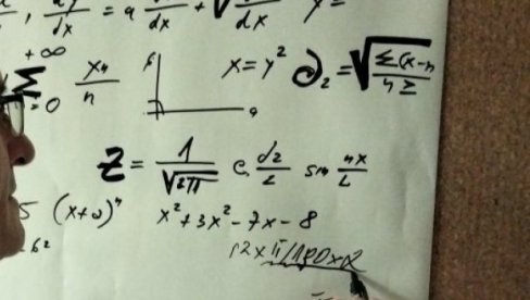
ДАНИ МАТЕМАТИКЕ У НОВОМ САДУ: Манифестација за празник љубитеља рачуна од 17. до 25. новембра

Слободан Бајић

16. 11. 2023. у 16:45

“ДАНИ математике у Новом Саду”, традиционална манифестација у организацији Природно- математичког факултета, Друштва математичара и Огранка Српске академије наука и уметности, окупиће од петка, 17., до суботе, 25. новембра, професоре, студенте и средњошколце из Србије и земаља региона у неколико институција у граду.

ДАНИ МАТЕМАТИКЕ У НОВОМ САДУ: Манифестација за празник љубитеља рачуна од 17. до 25. новембра

С.Б.

Уводни дан обележиће гости из Словеније, који ће на специјалној сесији семинара одржати два предавања из комбинаторике док ће у суботу, 18. новембра, бити свечано уручена признања најуспешнијим средњошколцима, који су награђени у оквиру конкурса Друштва математичара Новог Сада, „Математички календар“ и „Математичке минијатуре“.

У понедељак, 20. новембра, на програму је специјална сесија семинара “Богољуб Станковић”, и свечана промоција књиге о физици комплексних система у Огранку САНУ, док ће дан касније на Факултету техничких наука, бити одржани “Логичко-алгебарски-дискретни сусрети”.

- Зашто предузећа радо запошљавају математичере, чућемо у среду, 22. новембра, када ће се представити три фирме које тесно сарађују са Департманом за математику и информатику ПМФ, а у 19 часова у клубу „Беза“ крај купалишта „Штранд“, полазници манифестације ће учествовати на веома популарном квизу „Квизомат“- каже Розалија Мадарас, чланица организационог тима и истиче да је завршни дан манифестације, у суботу, 25. новембра, резервисан за акредитовани Новосадски математички семинар за професоре математике.

Пратите нас и путем иОС и андроид апликације

Pratite vesti prema vašim interesovanjima

Novosti Google News
РУСИ, ИДИТЕ КУЋИ! Језива политичка порука са трга у Будимпешти, Мађар већ почео да ради по налогу Брисела (ВИДЕО)

"РУСИ, ИДИТЕ КУЋИ!" Језива политичка порука са трга у Будимпешти, Мађар већ почео да ради по налогу Брисела (ВИДЕО)

ВЕЛИКИ политички заокрет у Мађарској најавио је лидер опозиционе Тисе Петар Мађар, који је после изборне победе поручио да земљу чека обнова пуног учешћа у Европској унији и НАТО, миран пренос власти и озбиљно преуређење државног врха.

13. 04. 2026. у 07:27

ПРОВОЦИРАЛИ НА ГОДИШЊИЦУ НАТО АГРЕСИЈЕ: Ухапшена четворица Албанаца у Србији, погледајте снимке (ВИДЕО)

ПРОВОЦИРАЛИ НА ГОДИШЊИЦУ НАТО АГРЕСИЈЕ: Ухапшена четворица Албанаца у Србији, погледајте снимке (ВИДЕО)

ПРИПАДНИЦИ Министарства унутрашњих послова, Управе криминалистичке полиције ухапсили су на територији Републике Србије А. С. (1989), Е. В. (1984), Е. Г. (1978) и А. Ц. (2005) држављане Републике Албаније због постојања основа сумње да су извршили кривично дело изазивање националне, расне и верске мржње и нетрпељивости.

24. 03. 2026. у 20:17

САМОУБИСТВО БИВШЕГ МИНИСТРА МУП-А ИСПРЕД СКУПШТИНЕ: Оставио 3 коверте, одузео себи живот због Хашког трибунала

САМОУБИСТВО БИВШЕГ МИНИСТРА МУП-А ИСПРЕД СКУПШТИНЕ: Оставио 3 коверте, одузео себи живот због Хашког трибунала

На данашњи дан, 11. априла 2002. године, на улазу у здање Дома Народне Скупштине Србије (тадашње Скупштине СРЈ) у Београду, бивши министар унутрашњих послова Србије Влајко Стојиљковић извршио је самоубиство, непосредно након усвајања Закона о сарадњи са Хашким трибуналом. Преминуо је два дана касније од последица рањавања.

11. 04. 2026. у 21:30 >> 21:39

Коментари (0)

САДА ЈЕ СВЕ ЈАСНО! Никола Јокић остао у конкуренцији за МВП награду, Денвер добио тешког ривала у првој рунди плеј-офа